Derivative x^2(xy)^2 = x^2y^2 Natural Language;B = \(2{x^2} 5xy {y^2}\); calculus If 3x^22xyy2=2 then the value of dy/dx x = 1 is A 2 B 0 C 2 D 4 E not defined 0 0 1,104 asked by Taeyeon
If X 2 Y 3 X 3y 2 Then Dy Dx Youtube
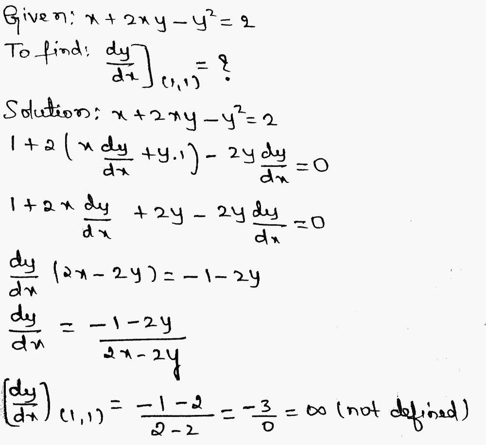
If x+2xy-y^2=2 at the point (1 1) dy/dx is
If x+2xy-y^2=2 at the point (1 1) dy/dx is-Cho các biểu thức A = \({x^2} 5xy {y^2} 1 \); The following identity can be used to find Pythagorean triples, where the expressions x2−y2, 2xy, and x2y2 represent the lengths of three sides of a right triangle;



Qbankmat2sem
SOLUTION 1 Begin with x 3 y 3 = 4 Differentiate both sides of the equation, getting D ( x 3 y 3) = D ( 4 ) , D ( x 3) D ( y 3) = D ( 4 ) , (Remember to use the chain rule on D ( y 3) ) 3x 2 3y 2 y' = 0 , so that (Now solve for y' ) 3y 2 y' = 3x 2, and Click HERE to return to the list of problems SOLUTION 2 Begin with (xy) 2 = x y 1 Differentiate both sidesAnswer to 1 If 3x^22xyy^2=2 then the value of \\frac{dy}{dx} x = 1 is \\\\ A 2 \\\\ B 0 \\\\ C 2 \\\\ D 4 \\\\ E not defined By signing up, you'll #25 please Show transcribed image text 24 Evaluate the integral Simplify your answer completely 25 Use either a double or a triple integral to find the volume of the solid Side the cylinder x^2 y^2 = 4, above the plane z = 0, and below the
Implicit derivative (dy)/ (dx), x^2xyy^2=4 \square!Get stepbystep solutions from expert tutors as fast as 1530 minutesX 2 ( − 2 y − 8) x y 2 − 8 y = 0 This equation is in standard form ax^ {2}bxc=0 Substitute 1 for a, 2y8 for b, and y\left (8y\right) for c in the quadratic formula, \frac {b±\sqrt {b^ {2}4ac}} {2a} This equation is in standard form a x 2 b x c = 0
3x^22xyy^2=2 Simple and best practice solution for 3x^22xyy^2=2 equation Check how easy it is, and learn it for the future Our solution is simple, and easy to understand, so don`t hesitate to use it as a solution of your homework If it's not what You are looking for type in the equation solver your own equation and let us solve itX ( − x y) y 2 − 2 ( − x y) 2 Cancel out xy in both numerator and denominator Cancel out − x y in both numerator and denominator \frac {2\left (xy\right)} {xy^ {2}} x y 2 − 2 ( − x y) Expand the expression Expand the expression \frac {2x2y} {xy^ {2}} x y 2 2 x − 2 y2xyy2/2 i2 0 I(o < x < 1) = (1/4)4x2I(o < x < 1) Please pay attention to the fact that I write the support everywhere!



What Is The Value Of X 2 Xy Y 2 If X 5 2 5 2 Y 5 2 5 2 Quora



Wbjee Math Questions And Answers Helpyout
If f (x) is the slope of a trail at a distance of miles from If f (x) is the slope of a trail at a distance of miles from the start of the trail, what does ∫3 f (xYou can put this solution on YOUR website!And x>y Calculus The line that is normal to the curve x^2=2xy3y^2=0 at(1,1) intersects the curve at what other point?



If X Y 2 2 X 2 Y 2 And X Y Lambda 2 4 Lambda 0 Then Lambda Is Equal To



1
Get stepbystep solutions from expert tutors as fast as 1530 minutes Your first 5 questions are on us!X and y are positive integers;Let's get some more practice doing implicit differentiation so let's find the derivative of Y with respect to X we're going to assume that Y is a function of X so let's apply our derivative operator to both sides of this equation so let's apply our derivative operator and so first on the left hand side we essentially are just going to apply the chain rule first we have some the derivative of



If X 2 2xy Y 2 Then Frac Dy Dx Select Chegg Com



If X 2 2xy 3y 2 1 Show That Y 2 2 X 3y 3 Sarthaks Econnect Largest Online Education Community
Solution for Solve dy/dx=2xy/(x^2y^2) Q A group of 150 tourists planned to visit East AfricaAmong them, 3 fall ill and did not come, of th A Consider the provided question, First draw the Venn diagram according to the given question, Let K rSee the answer x2xyy^2=2 Find dy/dx Expert Answer Previous question Next question Get more help from Chegg Solve it with our calculus problem solver and calculatorIf x=8 , then y=8 , and the tangent line passing through the point (8, 8) has slope 1 Click HERE to return to the list of problems SOLUTION 15 Since the equation x 2 xy y 2 = 3 represents an ellipse, the largest and smallest values of y will occur at the highest and lowest points of the ellipse



If X And Y Are Positive Integers Which Of The Following Problem Solving Ps



If X Y 7 And 2x Y 2 Then Y Brainly Com
2^(xy)^2 / 2^(xy)^2 = 2^(x^2 2xy y^2) / 2^(x^2 2xy y^2) Plugging in 1 for xy gives you 2^(x^2 y^2 2) / 2^(x^2 y^2 2) which can then be written as 2^(x^2 y^2) x 2^2 / 2^(x^2 y^2) x 2^2 The 2^(x^2 y^2) cancel out, leaving youIf {eq}x 2xy y^2 = 2 {/eq}, then find {eq}\frac{dy}{dx} {/eq} at the point (1, 1)Question X2xyy^2=2 Find Dy/dx This problem has been solved!



Worked Out Problems Iii



For The Differential Equations Given Find A Particular Solution Satisfying The Given Condition Dy Dx 3ycotx Sin 2x Y 2 When X Pi 2 Mathematics Shaalaa Com
\(\begin{array}{l} 3{x^2} {y^2} 10x 2xy 29 = 0\\ \Leftrightarrow {x^2} 2xy {y^2} 2{x^2} 10x 29 = 0\\ \Leftrightarrow {(x y)^2} 2{(x 2,5)^2Please help Thanks in advance1 Trong các kết quả sau kết quả nào sai A 17x^3y34x^2y^251xy^3=17xy(x^22xy3y^2) B x(y1) 3(y1)= (1y)(x3) C 16x^2(xy)10y(y1)=2(yx)(8x^25y)



Www Math Ucla Edu Mt 131a 1 02s 131a Hw Sol Pdf



4 If A 10 5 If X 1 And Y 1 Then Prove That X Gauthmath
Find dy/dx x^2y^2=2xy Differentiate both sides of the equation Differentiate the left side of the equation Tap for more steps Differentiate Tap for more steps By the Sum Rule, the derivative of with respect to is Differentiate using the Power Rule which states that is whereExample 51 Find the work done by the force F(x,y) = x2i− xyj in moving a particle along the curve which runs from (1,0) to (0,1) along the unit circle and then from (0,1) to (0,0) along the yaxis (see Figure 51) Figure 51 Shows the force field F and the curve C The work done is negative because the field impedesFind the rate of change of f(x,y,z) = xyz in the direction normal to the surface yx^2 xy^2 yz^2 = 75 at (1,5,3) I keep getting this wrong and I don't know what I did right The answer's 147/sqrt(101) but I got 357/sqrt(1361)



Implicit Differentiation



Y 3x 1 X 2 2xy Y 2 9 Novocom Top
A look at how you can use implicit differentiation (where y isn't the subject) to find a dy/dx derivative using the chain rule, power rule and the product ruOnce again I have some crazy relationship between x and y and just to get a sense of what this might look like if you plot all the X's and Y's that satisfy this relationship you get this nice little clover pattern and I plotted this off of Wolfram Alpha but what I'm curious about in this video is you might imagine from the title is to figure out the rate at which Y is changing with respect to Welcome to Sarthaks eConnect A unique platform where students can interact with teachers/experts/students to get solutions to their queries Students (upto class 102) preparing for All Government Exams, CBSE Board Exam, ICSE Board Exam, State Board Exam, JEE (MainsAdvance) and NEET can ask questions from any subject and get quick answers by



Www Ualberta Ca Csproat Homework Math 334 Assignment solutions Assignment 2 solutions Pdf



If X And Y Are Positive Integers Which Of The Following Problem Solving Ps
Answer to If x 2xy y^2 = 2, them at the point (1, 1) dy/dx is 3/2 1/2 0 3/2 nonexistent If lim_x rightarrow y, f(x) = 7 whicSolutions of Quadratic Equations Solve x^2 2xy y^2 2^2 maths= E(X2 2XY Y2) 2( X Y) = E(X2) 2E(XY) E(Y2) 2 X 2 X Y 2 Y = E(X2) 2 X 2(E(XY) X Y) E(Y2) 2 = Var(X) 2Cov(X;Y) Var(Y) Bilinearity of covariance Covariance is linear in each coordinate That means two things First, you can pass constants through either coordinate Cov(aX;Y) = aCov(X;Y) = Cov(X;aY) Second, it preserves sums in



Http Pi Math Cornell Edu Tsh 43 Sp15 Prelim 43 Sp15 Prelimpart1 Solutions Pdf



If X Y 4 And Xy 2 Find X2 Y2 Mathematics Topperlearning Com Z4bz3opnn
Extended Keyboard Examples Upload Random Compute answers using Wolfram's breakthrough technology & knowledgebase, relied on by millions of students & professionals For math, science, nutrition, history, geography, engineering, mathematics, linguistics, sports, finance, musicSimple and best practice solution for x^22xyy^2=0 equation Check how easy it is, and learn it for the future Our solution is simple, and easy to understand, soCalculus Find dy/dx x2xyy^2=2 x 2xy y2 = 2 x 2 x y − y 2 = 2 Differentiate both sides of the equation d dx (x 2xy y2) = d dx(2) d d x ( x 2 x y − y 2) = d d x ( 2) Differentiate the left side of the equation Tap for more steps



How Do You Differentiate X 2xy Y 1 0 Socratic



For The Differential Equation X 2 Y 2 Dx 2xy Dy 0 Which Of The Following Are True Youtube
C = \( 3{x^2} 2xy {y^2} 2\) Hãy tính \(A B C\) Theo dõi Vi phạm YOMEDIA Toán 7 Chương 4 Bài 6 Trắc nghiệm Toán 7 Chương 4 Bài 6 Giải bài tập Toán 7 Chương 4 Bài 6 Trả lời (1)Let y = t x t is a function of x Substitute and simplify t x dt/dx = (1 2t t^2)/2 Multiply by 2 2t 2 x dt/dx = 1 2t t^2 2t can be canceled 2x dt/dx = 1 t^2 Separate variables (2dt)/(1 t^2) = dx/x We have 2/(1 t^2) = (1t1t)/(1Then by subtracting the second equation above from the first and rearranging, we get \begin{equation}\label{h1}0 = y^2 x^2 K(yx) = (yxK)(yx) \end{equation} On the other hand , by adding the two equations and rearranging, we get \begin{equation}\label{h2} K(xy) 2xy 1 = 0 \end{equation} Now we can solve the system \eqref{h1}, \eqref



If Math X 3 Y 3 7 Math And Math X 2 Y 2 5 Math What Are The Values Of Math X Y Math And Math X Y Math Quora



Www Wssd K12 Pa Us Downloads Exam prep a11 soln Pdf
2 Remark It can be a good habit to check you answer via verifying that the marginal density is integrated to 1 Let us do thisIf x = 1, then x2 xy y3 = 1 gives y y3 = 0 y(y2 1) = 0 y = 0 In the first step, we get 2 y ′ = 0 y ′ = − 2 Now we sub x = 1, y = 0, y ′ = − 2 in the second step, to get 2 − 4 y ″ = 0 y ″ = 2 Plugging all in the last step 4 − 48 2 y ‴ = 0 y ‴ = 42 We want the positive eigenvalue It is the reciprocal of the square of the semitransverse axis length, so the minimum value of $(x^2y^2)^2$ on this hyperbola is $(3\sqrt2)^2=18$



Gmat Quant Topic 3 Inequalities Absolute Value Solutions



If X Y 7 2 And Xy 5 2 Find Value Of X Y And X 2 Y 2 Scholr
47 Surface Integrals Up until this point we have been integrating over one dimensional lines, two dimensional domains, and finding the volume of three dimensional objects In this section we will be integrating over surfaces, or two dimensional shapes sitting in a three dimensional world These integrals can be applied to real world Ex 95, 15 For each of the differential equations in Exercises from 11 to 15 , find the particular solution satisfying the given condition 2𝑥𝑦𝑦^2−2𝑥^2 𝑑𝑦/𝑑𝑥=0;𝑦=2 When 𝑥=1 Differential equation can be written 𝑎s 2𝑥𝑦𝑦^2−2𝑥^2 𝑑𝑦/𝑑𝑥=0 2𝑥𝑦𝑦^2= 2𝑥^2 𝑑𝑦/𝑑𝑥 2𝑥^2 𝑑𝑦/𝑑𝑥=2𝑥𝑦𝑦^2 𝑑𝑦/ We compute the partial derivative (by differentiating wrt to specified variable and treating all other variables as constants), and applying the chain rule u_x = (partial u)/(partial x) \ \ \ \= ((1)(12xyy^2)^(2)(2y))/2 \ \ \ \= (y)/(12xyy^2)^(2) And u_y = (partial u)/(partial y) \ \ \ \= ((1)(12xyy^2)^(2)(2x2y))/2 \ \ \ \= (xy)/(12xyy^2)^(2) Next we compute the LHS of the desired expression LHS = x(partial u)/(partial x) y (partial u)/(partial y) \ \ \ \ \ \ \ \ = x



2xy Y 2 2x 2 Dy Dx 0 Y 2 When X 1 Sarthaks Econnect Largest Online Education Community



7 1 Cartesian Co Ordinate System Linear Equations In Two Variables Ppt Download
View 305 Algebra 2pdf from ALGEBRA 10 at Florida Virtual School 305 Polynomial identity's and properties By Ben Floyd Identity's chosen • column A (X y ) • column B (X ^2 2XY y ^2Correct option is E 0 Given, x2 2xy2y2 = 1 Put y = 1, x2 2x(1)2(1)2 = 1 ⇒ x2 2x1= 0 ⇒ (x1)2 = 0 ⇒ x = −1 >> =(xy)^2(2xy)=(xy)^2(2xy), 2(x2y2)≥(xy)2是怎么来的 ?>> 解(xy)^2=x^22xyy^2 故x2y2=(xy)22xy 很高兴为您解答,祝你学习进步!学习宝典团队为您答题有不明白的可以追问!如果您认可我的回答请点击下面的选为满意回答按钮,谢谢!



If X 2xy Y2 2 Then At The Point 1 1 Dy Dx Unde Gauthmath



Find Slope Of Tangent Line To Curve 2xy Y 3 4 At 3 2 Youtube
3x^22xyy^2=2 then the value of dy/dx at x=1 is?2x2xy y2 4x5y 6 : 2x^2xyy^24x5y6=(xy)(2xy)2(xy)3(2xy)6=(xy3)(2xy2) 已知2x^2 2xyy^2 6x 4y27 0,求实数x的最大值活最小值: 原方程整理得y^2(2x4)y2x^26x27=0,视其为y的一元二次方程,令Δ>=0,得到一关于x的二次不等式,解之即可得x的最大值与最小值Extended Keyboard Examples Upload Random Compute answers using Wolfram's breakthrough technology & knowledgebase, relied on by millions of students & professionals For math, science, nutrition, history, geography, engineering, mathematics, linguistics, sports, finance, music



Www Ucl Ac Uk Ucahjva Multi4 Pdf



If X 1 And Y 2 By Using The Identity Find The Following 4 Y 2 9 X 2 16 Y 4 36 X 2 Y 2 81 X 4 And X 2y X 2 2xy 4 Y 2 Snapsolve
Use separation of variables to solve the differential equation dy/dx 2xy^2 = 0 or equivalently written as y'2xy^2=0The steps to solving a DE by separationThis is the Answer of your question The answer is sin2x The picture has all the detailed steps and the formulas which are used to solve this problem Thank YouHere are the most common factoring techniques used with polynomials If we have any number of terms then we use GCF a 4 b 2 a 2 b 2 − a 3 b 2 = a 2 b 2 ( a 2 1 − a) If we have two terms then we could use either the difference of two squares, the sum of two cubes or the difference of two cubes a 2 − b 2 = ( a b) ( a − b)



If X 2 2x Y Y 3 42 Find Dy Dx



Advanced Gmat Mathquestions Version2
Looking at we can see that the first term is and the last term is where the coefficients are 1 and 1 respectively Now multiply the first coefficient 1 and the last coefficient 1 to get 1 Now what two numbers multiply to 1 and add to the middle coefficient 2?Derivative of 2xy \square!



Solve Y 2 2x 2y Dx 2x 3 Xy Dy 0 Mathematics Stack Exchange



1



If X 2 Y 2 2 Xy Find Dy Dx Sarthaks Econnect Largest Online Education Community



How Do You Differentiate X 2 2xy Y 2 X 74 Socratic



Www Whitman Edu Mathematics Multivariable Multivariable 14 Partial Differentiation Pdf



Find Dy Dx If X 2 2xy Y 2 0 Brainly In



Evaluate Algebraic Expressions



If X 2 2xy 2y 2 1 Then Dydx At The Point Where Y 1 Is Equal To



If X And Y Are Real Numbers Such That X 2 2xy Y 2 6 Find The Minimum Value Of X 2 Y 2 2 Maths Trigonometric Functions Meritnation Com



1



2



1



Implicit Differentiation



If X Y 8 And X Y 40 Find The Value Of X And Y Brainly In



If 2 X 2 Y 2 X Y Then Dydx Is Equal To



Implicit Differentiation Advanced Example Video Khan Academy



Http Www Math Sci Hokudai Ac Jp S Settepanella Teachingfile Calculus Calculus2 Pagine Lineintex Pdf



Special Types Of Functions Part One Direct And



Direct Proof And Counterexample I Ppt Download



Graph Graph Inequalities With Step By Step Math Problem Solver



Solve The Following Systems Of Equations Xy 3y 2 X 4y 7 0 2xy Y 2 2x 2y 1 0



Http Www Eco Uc3m Es Docencia Matematicasii English Exercises I Problemas3 Pdf



How Do You Solve A System Of Equations Using The Elimination By Subtraction Method Printable Summary Virtual Nerd



Find Dy Dx When X And Y Are Connected By The Relation X2 Y2 2 Xy Studyrankersonline



Orion Math Iastate Edu Butler Calculus Exams Butler 265f11pt2asolns Pdf



Faculty Math Illinois Edu Ekirr Page Teaching Math461 Quiz9solution Pdf



Homogeneous Differential Equations



If X Y 9 X Y 14 Then Find X Y Youtube



Http Www Math Tamu Edu Glahodny Math251 Section 12 2 Pdf



Show Function F X Y X 2 Y 2 2xy Is 1 1 By Inverse Function Theorem Mathematics Stack Exchange



Implicit Differentiation Advanced Example Video Khan Academy



Solutions To Implicit Differentiation Problems



Klci Lqw Ceum



Graph Graph Inequalities With Step By Step Math Problem Solver



If X 2xy Y 2 2 Them At The Point 1 1 Dy Dx Chegg Com



Www Ualberta Ca Rjia Math214 Part4 Lec2 Pdf



Www Math Ucla Edu Mt 131a 1 02s 131a Hw Sol Pdf



Solved If X Y Z 6 And Xy Yz Zx 11 Then Find The Va Self Study 365



Www3 Nd Edu Taylor Math550 Images Oldexams Exam2a Pdf



Answered Solve 2xyy 1 Y W X 2 And Y 3 Bartleby



4 If A 10 5 If X 1 And Y 1 Then Prove That X Gauthmath



Ex 9 5 15 Class 12 Find Solution 2xy Y 2 2x 2 Dy Dx 0 When



Using Completing Square To Simplify Surds Doc



Qbankmat2sem



X 2 Y 2 Dx 2xy Dy 0 Novocom Top



15 2xy Y 2 Dx 2xy X 2 2x 2y 2 2xy 3 Dy 0 Homeworklib



3 8 Implicit Differentiation Calculus Volume 1



Ex 9 5 15 Class 12 Find Solution 2xy Y 2 2x 2 Dy Dx 0 When



If X2 Y2 2 Xy Find Dy Dx Mention Each And Every Step Mathematics Topperlearning Com Gwvwfskk



If 2x Y 23 And 4x Y 19 Then Find The Values Of 5y 2x And Y X 2 Studyrankersonline



How Can I Prove That Xy Leq X 2 Y 2 Mathematics Stack Exchange



If 1 2 2 1 X Y 5 4 Then Value Of Y Is Sample Paper



Find Dy Dx If X2 Y2 2 Xy Maths Limits And Derivatives Meritnation Com



Http Users Math Msu Edu Users Duncan42 Midterm1review Solutions Pdf



What Are The Extrema And Saddle Points Of F X Y X 2 Xy Y 2 Y Socratic



If Math X Y 2 Text And X 2 Y 2 2 Math What Is The Value Of Math Xy Math Could You Break It Down For Me Quora



If X 2 Y 3 X 3y 2 Then Dy Dx Youtube



Www3 Nd Edu Apilking Math Work Old exams Exam2f07solutions Pdf



If X 2y 2 I X 2x Y 5 0 Then I X 1 4 Ii Y 2 1 8 Iii Both Of These Iv None Of These



Conf Math Illinois Edu Maguire2 Reviewday Pdf



Rd Sharma Solutions For Class 8 Chapter 6 Algebraic Expressions And Identities Download Free Pdf



Www Uplifteducation Org Cms Lib Tx Centricity Domain 273 Diff eq sol Pdf



Ambiguous Pemdas



Www Tau Ac Il Levant Ode Solution 6 Pdf



Http People Math Sc Edu Sumner Math250fall07 Problemsets Problemset14solutions Pdf



6 Find Dy Dx If X 2 Y 2 2xy A X 1 Y B Chegg Com



Dy Is 4 If X 2xy Y2 2 Then At The Point 1 1 Chegg Com



Www Keble Ox Ac Uk Wp Content Uploads Ch 1 Algebra Pdf



Implicit Differentiation Advanced Example Video Khan Academy



Http Www Math Tamu Edu Glahodny Math251 Section 12 8 Pdf



Is Math X Y 2 X 2 Y 2 Math Or Math X 2 2xy Y 2 Math Quora



Implicit Differentiation


0 件のコメント:
コメントを投稿